Предмет: Алгебра,
автор: darkomarco
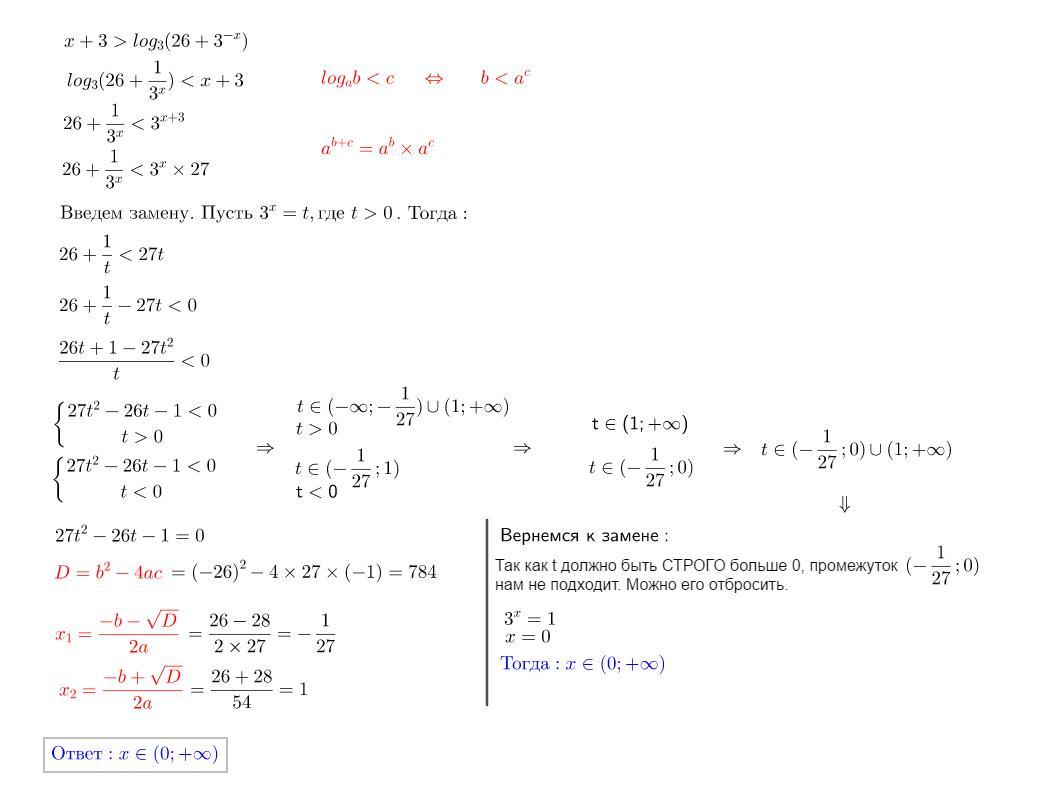
Логарифмическое неравенство 6
Приложения:
Ответы
Автор ответа:
1
Смотри в приложении:
Приложения:
Похожие вопросы
Предмет: Русский язык,
автор: АМДУСЦИАС
Предмет: Русский язык,
автор: Эльмира19
Предмет: Українська мова,
автор: leina9
Предмет: Биология,
автор: efanovvadim
Предмет: Математика,
автор: k103312