Предмет: Алгебра, автор: Gosha2020

Умоляю помогите с заданиями(

Приложения:

Ответы

Автор ответа: ЯгодкаЯлесная
1

Ответ:

фоточка тебе в помощь ;)

Приложения:
Автор ответа: nktselepov
0

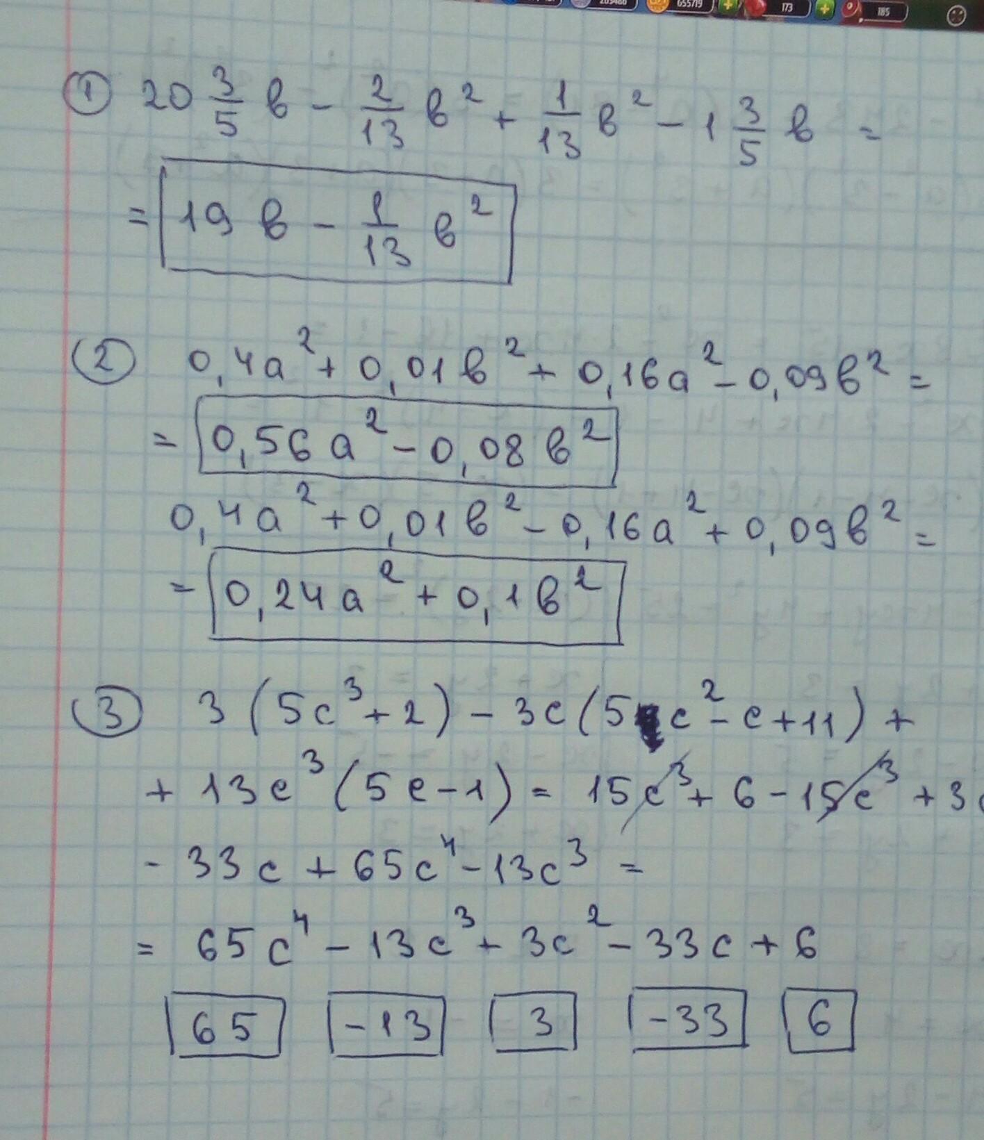
1)

(20\frac{3}{5} b-\frac{2}{13} b^2)+(\frac{1}{13} b^2-1\frac{3}{5} b)=20\frac{3}{5} b-\frac{2}{13} b^2+\frac{1}{13} b^2-1\frac{3}{5} b=19b-\frac{1}{13} b^2

правильный ответ 2

2)

сумма:

(0,4a^2+0,01b^2)+(0,16a^2-0,09b^2)=0,4a^2+0,01b^2+0,16a^2-0,09b^2=\\=0,56a^2-0,08b^2

разность:

(0,4a^2+0,01b^2)-(0,16a^2-0,09b^2)=0,4a^2+0,01b^2-0,16a^2+0,09b^2=\\=0,24a^2+0,1b^2

правильный ответ 3

3)

3x-ay+bz\\a=3c\\b=13c^3\\x=5c^3\\y=5c^2-c+11\\z=5c-1

подставляем:

3*5c^3-3c*(5c^2-c+11)+13c^3*(5c-1)=\\=15c^3+6-15c^3+3c^2-33c+65c^4-13c^3=\\=6+3c^2-33c+65c^4-13c^3=65c^4-13c^3+3c^2-33c+6

Похожие вопросы
Предмет: Алгебра, автор: aminamagomedovvva
Предмет: Математика, автор: vitalapteva