Предмет: Математика,
автор: Аноним
Срочно нужнааа пж
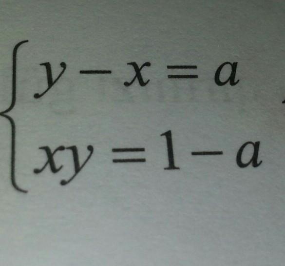
Если система имеет единственное решение,то найдите X^2+y
Приложения:
Ответы
Автор ответа:
1
{у-х=а {у=х+а (подставляем во второе уравнение)
{ху=1-а {х(х+а) =1-а
х(х+а) =1-а
х²-ах+а-1=0
D=а²-4(а-1) = 0
а²-4а+4=0
(а-2)²=0
а=2;
Подставляем значение а=2 с систему:
{у-х=2; {у=2+х
{ху=-1; {х(2+х)=-1
х(2+х)=-1
х²+2х+1=0
D=4-4*1=4-4=0
х= -2:2= -1;
у=2-1=1;
Найти х²+у = (-1)²+1 = 1+1 = 2
Ответ: 2.
Похожие вопросы
Предмет: Английский язык,
автор: Papoušek
Предмет: Английский язык,
автор: Ayana98
Предмет: Русский язык,
автор: аришка17
Предмет: Биология,
автор: ненавижу2