Предмет: Математика,
автор: yOOnik10
Помогите срочно решить 2 уравнения
Приложения:
Ответы
Автор ответа:
3
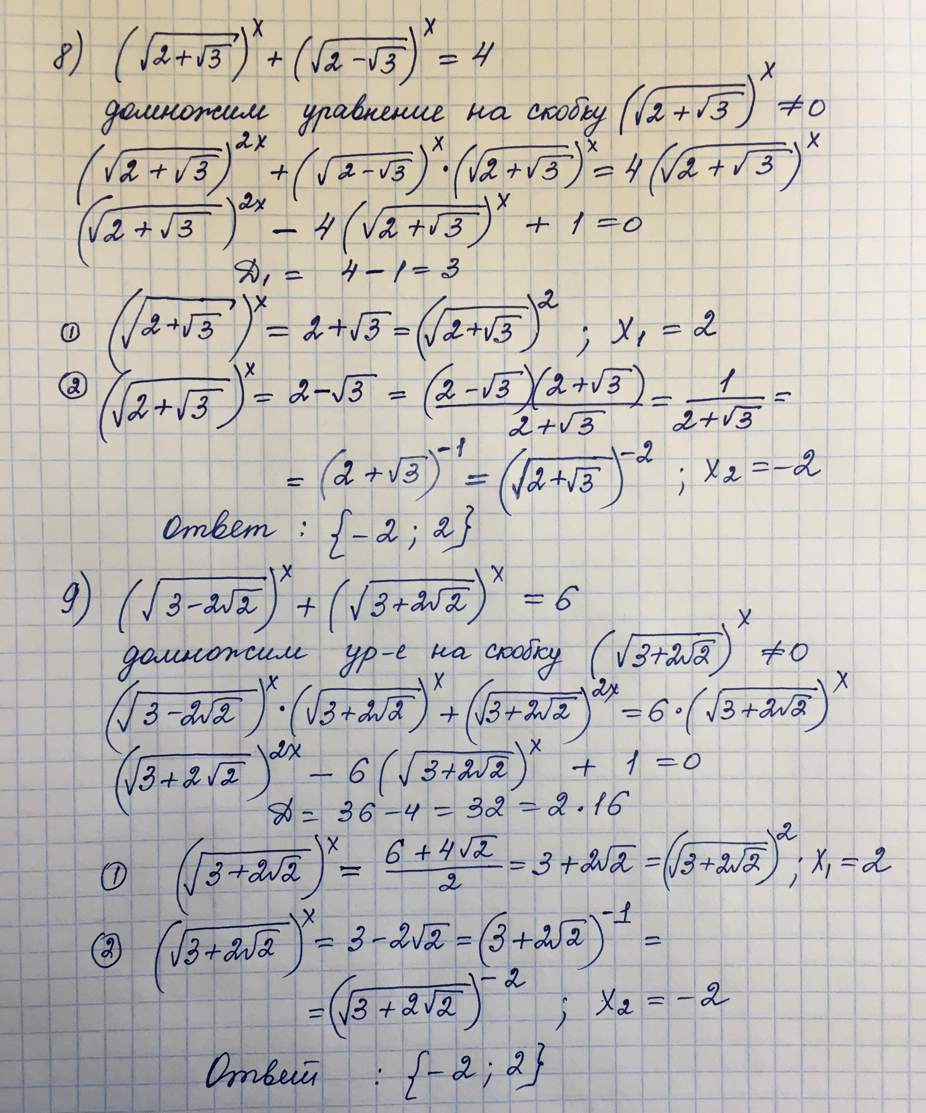
Ответ:
Пошаговое объяснение:
............................................
Приложения:
Похожие вопросы
Предмет: Английский язык,
автор: Kharn
Предмет: Другие предметы,
автор: nata6a2012
Предмет: Русский язык,
автор: rafoo7
Предмет: Геометрия,
автор: elsablina