Предмет: Математика, автор: Skuzairov

Сделайте даю 50 баллов

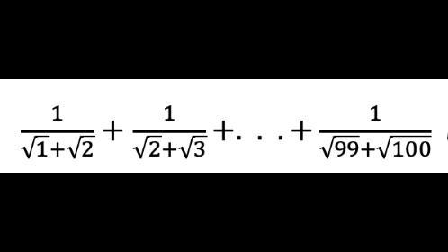
Приложения:

fergiyoh: Что именно?
fergiyoh: Там где 3 точки?
fergiyoh: Что именно надо сделать?
Skuzairov: ... это возрачтание чисела на 1
fergiyoh: Что именно надо сделать?
fergiyoh: Условия нету
fergiyoh: Надо писать: Решите
fergiyoh: Сделать можно всё что угодно
fergiyoh: + какие кв корни в 1-4 классе?????
gammilala: ответ 9

Ответы

Автор ответа: gammilala
1

для начала преобразуем дроби - избавится от иррациональности в знаменателе

(a-b)(a+b)= a²-b²

домножим каждую дробь на вычитание корней (и числитель и знаменатель)

\displaystyle \frac{(\sqrt{1}-\sqrt{2})}{(\sqrt{1}^2-\sqrt{2}^2)}+\frac{\sqrt{2}-\sqrt{3}}{\sqrt{2}^2-\sqrt{3}^2}+\frac{\sqrt{3}-\sqrt{4}}{\sqrt{3}^2-\sqrt{4}^2}+...+\frac{\sqrt{99}-\sqrt{100}}{\sqrt{99}^2-\sqrt{100}^2}=\\\\=\frac{\sqrt{1}-\sqrt{2}}{-1}+\frac{\sqrt{2}-\sqrt{3}}{-1}+\frac{\sqrt{3}-\sqrt{4}}{-1}+...+\frac{\sqrt{99}-\sqrt{100}}{-1}=\\\\=-1(\sqrt{1} -\sqrt{2}+\sqrt{2}-\sqrt{3}+\sqrt{3}-\sqrt{4}+...+\sqrt{99}-\sqrt{100})=\\\\=-1(\sqrt{1}-\sqrt{100})=-1(1-10)=9


Skuzairov: Реши еще одну мою на 50 баллов
Skuzairov: Пж
Похожие вопросы