Предмет: Математика, автор: kudr732008

номер 793 учебник Дорофеев Шарыгин Суворова и т.д помогите кто может

Ответы

Автор ответа: fergiyoh
1

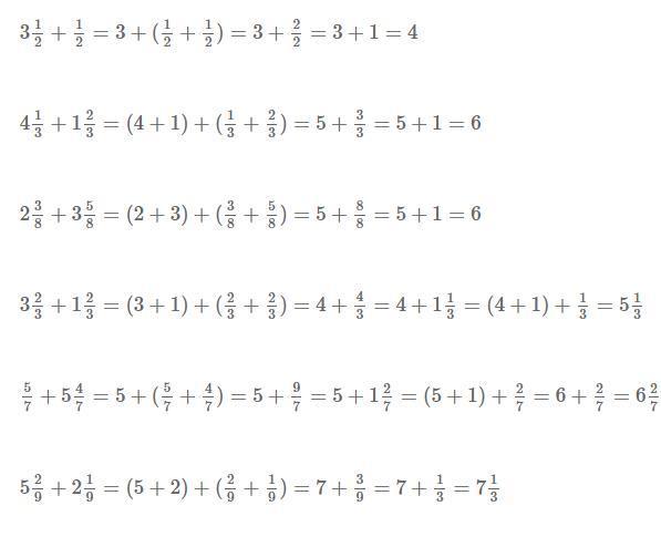
Вот так:

Надеюсь то что надо......................

Приложения:

fergiyoh: То что надо или нет?
kudr732008: То,спасибо)
fergiyoh: Не за что
fergiyoh: До 8 класса дойдешь, там будет это, но с квадратными корнями :)
Похожие вопросы
Предмет: Математика, автор: rozasarkarova
1.В две разные банки налиты апельсиновый и яблочный соки. Лена отлила из банки с апельсиновым соком стакан и влила его в банку с яблочным. Затем из банки с яблочным соком она также отлила стакан и влила его в банку с апельсиновым соком. Какого сока больше?
1) яблочного в апельсиновом
2)апельсинового в яблочном
3)поровну
4)не хватает данных
2.По шоссе на расстоянии ехали 2 машины со скоростью 110 км/ч. Когда началась гравийная дорога,скорость упала до 70км/ч. Когда оба авто оказались на гравийной дороге,расстояние между ними оказалось на 400 метров меньше первоначального. На каком расстоянии друг от друга автомобили ехали в начале пути?
1)1100
2)800
3)1800
4)600
3.На доске были написаны 6 последовательных натуральных чисел. Когда стёрли одно из них,то сумма пяти оставшихся оказалась равна 646. Укажите произведение самого большого и самого маленького числе в записанной последовательности.
1)16899
2)16383
3)16764
4)17028
СРОЧНО!!!!!!!!!!!!!!!!
Предмет: Алгебра, автор: x1Danilka1x