Предмет: Математика,
автор: airaske
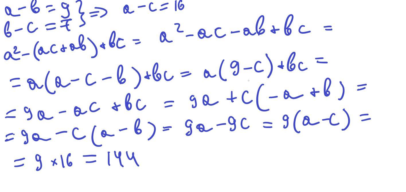
a-b=9
b-c=7
=> a^2-(ac+ab)+bc
Ответы
Автор ответа:
1
Ответ:
144
Пошаговое объяснение:
Всё расписано в решении.
Приложения:
Похожие вопросы
Предмет: Русский язык,
автор: miley13576
Предмет: Русский язык,
автор: ДианаДмитренко
Предмет: Русский язык,
автор: Malik564
Предмет: Математика,
автор: LoxPlyaza
Предмет: История,
автор: zverev578534Вася