Предмет: Алгебра,
автор: Kris35780
Помогите, пожалуйста!
Приложения:
Ответы
Автор ответа:
1
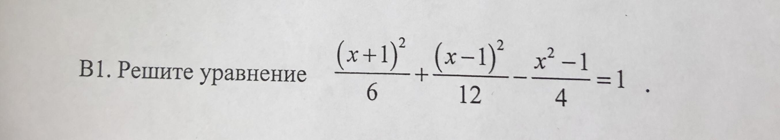
............................ Общий знаменатель 12.
2(х+1)²+(х-1)²-3(х²-1)=12
2х²+4х+2+х²-2х+1-3х²+3=12
2х+6=12
2х=12-6
2х=6
х=3
Автор ответа:
0
Ответ:3
Объяснение:
(х+1)²/6 + (х-1)²/12 - (х²-1)/4 = 1; | *12
(Домножим обе части уравнения на общий знаменатель 12, одновременно сокращая его со знаменателями дробей.)
2(х+1)²+(х-1)²-3(х²-1)=12;
2(х²+2х+1)+(х²-2х+1)-3х²+3=12;
2х²+4х+2+х²-2х+1-3х²+3=12;
2х=12-2-1-3;
2х=6;
х=6:2;
х=3.
Ответ:3
Похожие вопросы
Предмет: Русский язык,
автор: tytya78
Предмет: Английский язык,
автор: yarkovi4
Предмет: Русский язык,
автор: Олололя
Предмет: Алгебра,
автор: лили159
Предмет: Геометрия,
автор: ankasamkova02