Предмет: Математика,
автор: marinarapaeva97
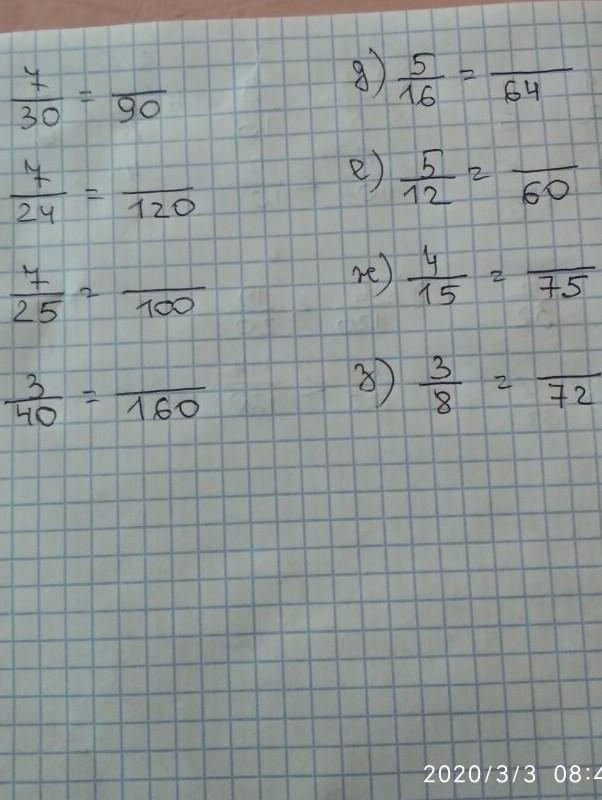
Помогите решить примеры, которые на фото. Спасибо
Приложения:
Ответы
Автор ответа:
1
Ответ:
7/30 = x/90
x=7×90/30
x=21
7/24=x/120
x=35
7/25=x/100
x=28
3/40=x/160
x=12
5/16=x/64
x=20
5/12=x/60
x=25
4/15=x/75
x=20
3/8=x/72
x=27
Похожие вопросы
Предмет: Другие предметы,
автор: GirLy
Предмет: Русский язык,
автор: КРИТТ
Предмет: Українська мова,
автор: huchu
Предмет: Математика,
автор: CAHEK1337
Предмет: Математика,
автор: Nika83934012