Предмет: Математика, автор: Nickjulia

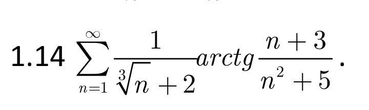
Исследовать на сходимость ряд

Приложения:

Ответы

Автор ответа: igorShap
0

\dfrac{n+3}{n^2+5}>0=>arctg\dfrac{n+3}{n^2+5}>0=>arctg\dfrac{n+3}{n^2+5}<\dfrac{n+3}{n^2+5}\\ \sum\limits_{n=1}^\infty\dfrac{1}{\sqrt[3]{n}+2}arctg\dfrac{n+3}{n^2+5}<\sum\limits_{n=1}^\infty\dfrac{1}{\sqrt[3]{n}+2}\dfrac{n+3}{n^2+5}<\sum\limits_{n=1}^\infty\dfrac{1}{\sqrt[3]{n}+2}\dfrac{4n}{n^2+5}<\\ <\sum\limits_{n=1}^\infty\dfrac{1}{\sqrt[3]{n}}\dfrac{4n}{n^2}=\sum\limits_{n=1}^\infty\dfrac{1}{\sqrt[3]{n}}\dfrac{4}{n}=4\sum\limits_{n=1}^\infty\dfrac{1}{n^\frac{4}{3}}

\sum\limits_{n=1}^\infty\dfrac{1}{n^\frac{4}{3}} сходится как частный случай обобщенного гармонического ряда для k=\dfrac{4}{3}>1.

Тогда исходный ряд сходится по признаку сравнения

Похожие вопросы