Предмет: Математика,
автор: rastorgueve
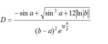
Помогите составить ОДЗ к этому выражению
Приложения:
Ответы
Автор ответа:
0
Ответ:
(b-a)^2 e^ tga/b не = 0
значит b не=0
e^1/2 не = 0
дальше не знаю(
Пошаговое объяснение:
Похожие вопросы
Предмет: Русский язык,
автор: alla68
Предмет: Английский язык,
автор: Анькис
Предмет: Русский язык,
автор: Grinyova
Предмет: Математика,
автор: Fatimka2007