Предмет: Алгебра, автор: bemo47

(х-3)(х²+3х+9)-х³=-6,75х
помогите решить уравнение​

Ответы

Автор ответа: matematikL
0

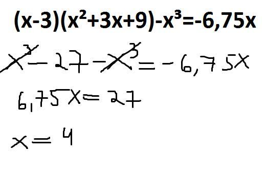
Ответ:

Объяснение:

вот и все

Приложения:

matematikL: советую изучить формули сокращение умножения
Автор ответа: ElbortGames
0

Ответ:

x=4

Объяснение:

(x-3)(x^{2} + 3x + 9) - x^{3} = -6,75x

x^{3} - 27 - x^{3} = -6,75x

x^{3} - 27 - x^{3}

-27=-6,75x

-6,75x=-27

x=4

Ответ: x=4

Похожие вопросы
Предмет: Математика, автор: мама1991