Предмет: Математика,
автор: IUniversal
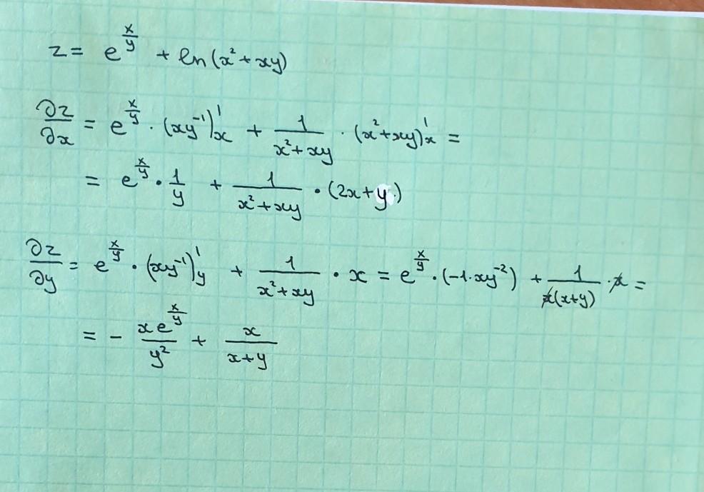
Z= e^x/y+ln(x^2+xy)
Найти dz/dx и dz/dy
Ответы
Автор ответа:
1
Ответ:
решение на фотографии
Приложения:
Похожие вопросы
Предмет: Английский язык,
автор: lizzybraun
Предмет: Русский язык,
автор: Лёля151927
Предмет: Английский язык,
автор: alka19
Предмет: История,
автор: Аноним