Предмет: Алгебра,
автор: bajramovalaman85
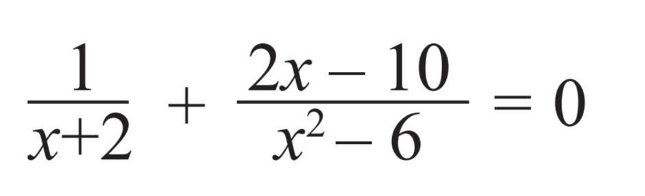
Найдите сумму корней уравнения
Приложения:
Ответы
Автор ответа:
0
Ответ:
Посмотрите на фотографии
Объяснение:
Приложения:
Похожие вопросы
Предмет: Английский язык,
автор: Аноним
Предмет: Русский язык,
автор: Skif1979
Предмет: Русский язык,
автор: Аноним
Предмет: Алгебра,
автор: roman02448
Предмет: Химия,
автор: vadyushasidore