Предмет: Математика,
автор: aydingyulmetov
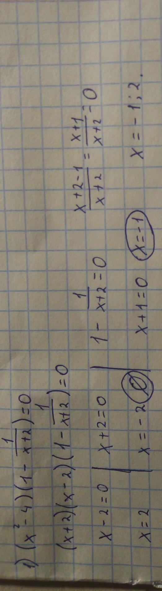
(x^2 - 4)×(1 - 1/(x+2) )?
Решите пожалуйста СРОЧНО
Ответы
Автор ответа:
1
Решение задания приложено
Приложения:
Автор ответа:
1
Решение на фото............
Приложения:
Похожие вопросы
Предмет: Українська мова,
автор: Karinka1422
Предмет: Українська література,
автор: yaNYca
Предмет: Українська мова,
автор: annisayeva
Предмет: Математика,
автор: тринь
Предмет: Алгебра,
автор: lellellel