Предмет: Алгебра,
автор: elrobto
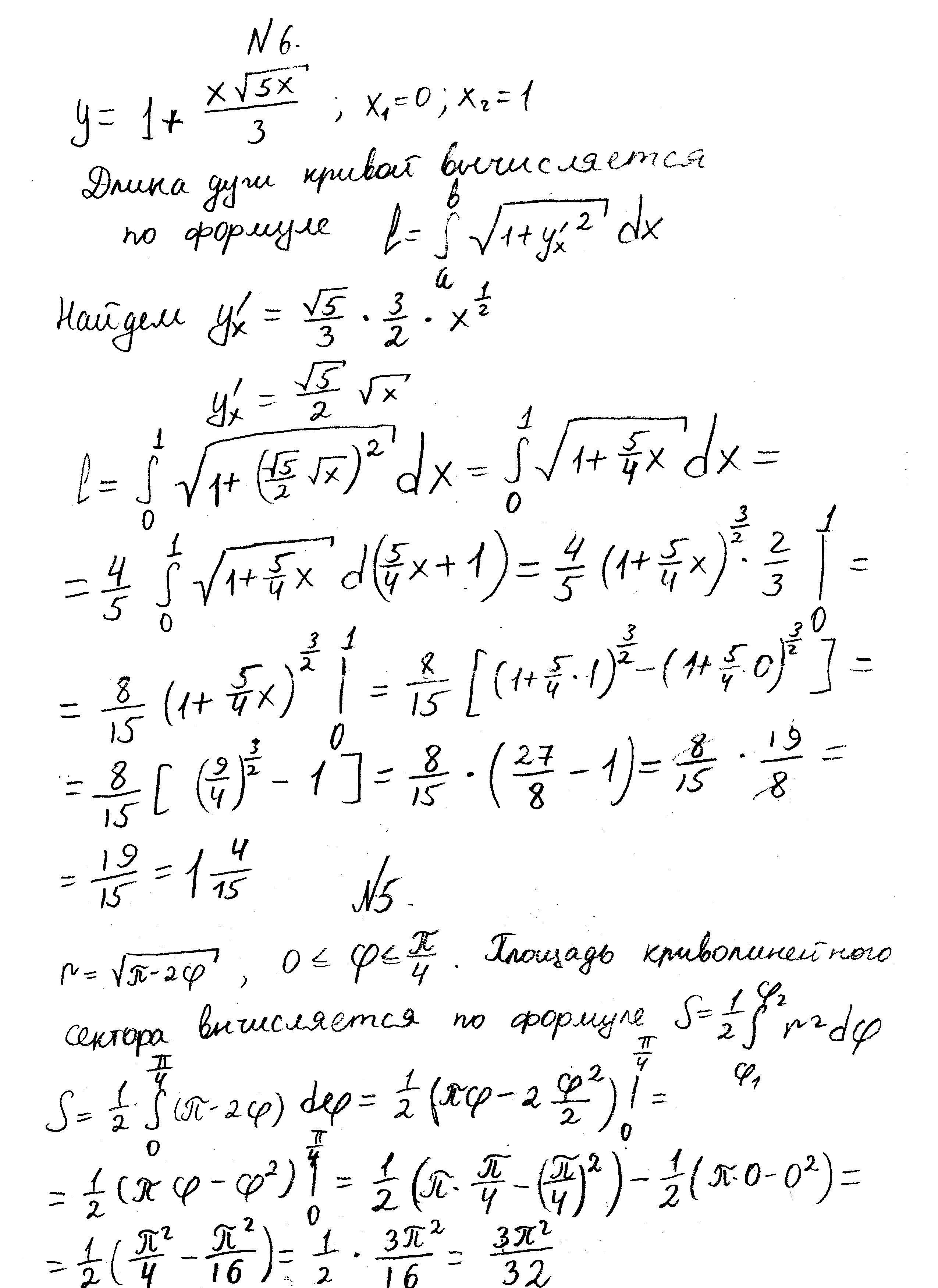
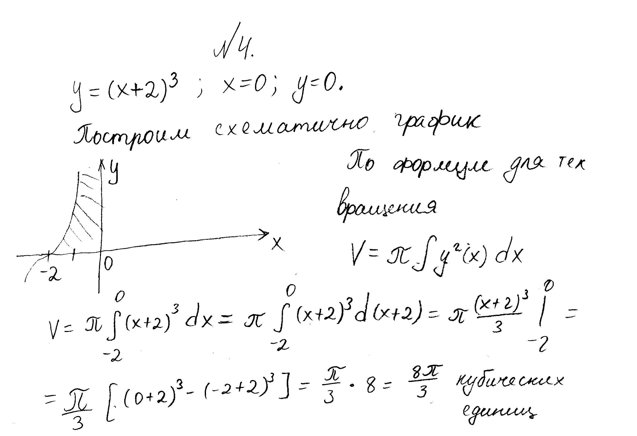
4- Вычислить площадь фигуры ограниченной данными линиями 5- Вычислить площадь криволинейного сектора 6 - Вычислить длину дуги кривой 7- Вычислить объем тела образованного вращением фигуры ограниченной данными линиями вокруг оси Ох и Оу
Приложения:
Ответы
Автор ответа:
2
Ответ:
№4 кубических единиц
№5 квадратных единиц
№6 единиц
№7 Вращение вокруг оси ОУ
V=66π кубических единиц
Вращение вокруг оси ОX
кубических единиц
Объяснение:
в приложении
Приложения:
Похожие вопросы
Предмет: Українська мова,
автор: Ленчик22
Предмет: Русский язык,
автор: Armaggedon
Предмет: Українська мова,
автор: 12qq
Предмет: Музыка,
автор: 79210696544
Предмет: Химия,
автор: Adelheidd