Предмет: Математика,
автор: olenik27042005
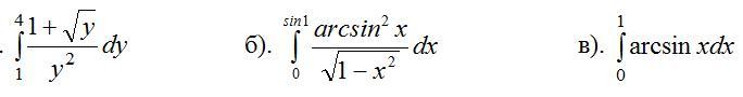
Прошу решить вот эти интегралы
Приложения:
Ответы
Автор ответа:
1
Ответ:
решение на фотографии
Приложения:
Похожие вопросы
Предмет: Русский язык,
автор: катрина1310
Предмет: Русский язык,
автор: Irina4233
Предмет: Английский язык,
автор: лиза23456789
Предмет: Математика,
автор: гггг17
Предмет: Математика,
автор: Kristya2007