Предмет: Математика,
автор: L0sty
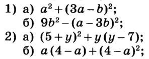
Преобразуйте выражение в многочлен
Приложения:
Ответы
Автор ответа:
3
Смотри вложение.......
Приложения:
Автор ответа:
1
Ответ:
Пошаговое объяснение:
Смотри вложение
Приложения:
khlupina04:
Решала честно сама ,хотя можно подумать что списала ,но это не так.
Похожие вопросы
Предмет: Английский язык,
автор: Аноним
Предмет: Русский язык,
автор: olgakatorgnova
Предмет: Українська мова,
автор: SvetaShlapak
Предмет: Математика,
автор: nastia200417