Предмет: Алгебра, автор: 67898778998778998789

Помогите кто знает пожалуйста срочно надо буду очень благодарна ❤️

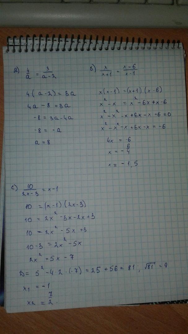
Приложения:

Ответы

Автор ответа: softikhomirova
0

Ответ:

Объяснение: Вот держи , вроде постаралась понятней решить

Приложения:

67898778998778998789: Можно пожалуйста с ОДЗ?
67898778998778998789: Или тут не должно быть?
softikhomirova: Под буквой е , ОДЗ х не равен -2
Автор ответа: sangers1959
1

Ответ:

Объяснение:

а) 4/а=3/(а-2)   ОДЗ: a≠0      a-2≠0      a≠2.

4*(a-2)=3*a

4a-8=3*a

a=8.

b) x/(x+1)=(x-6)/(x-1)         ОДЗ: x+1≠0     x≠-1     x-1=0     x≠1

x*(x-1)=(x-6)(x+1)

x²-x=x²-5x-6

-x=-5x-6

4x=-6  |÷4

x=-1.5.

c) 10/(2x-3)=x-1   ОДЗ:2x-3≠0    2x≠3       x≠1,5.

(x-1)*(2x-3)=10

2x²-5x+3=10

2x²-5x-7=0   D=81     √D=9

x₁=-1        x₂=3,5.

d) 3/(x²+2)=1/x     ОДЗ: х≠0

3*x=1*(x²+2)

3x=x²+2

x²-3x+2=0    D=1

x₁=1        x₂=2

e) (x²+4x)/(x+2)=2x/3    ОДЗ: х+2≠0    х≠-2

3*(x²+4x)=2x*(x+2)

3x²+12x=2x²+4x

x²+8x=0

x*(x+8)=0

x₁=0      x₂=-8.

f) 3/(3n-1)=2/(2n-1)      ОДЗ: 3n-1≠0    n≠1/3     2n-1≠0     n≠1/2.

3*(2n-1)=2*(3n-1)

6n-3=6n-2

-3≠-2   ⇒

Уравнение решения не имеет.


67898778998778998789: Мерси
Похожие вопросы
Предмет: Русский язык, автор: karnet95