Предмет: Алгебра,
автор: Markopolo222
Срочно пжажжпжпжажп алгебра пжажпжп
Приложения:
Markopolo222:
СПС но уже не надо
Ответы
Автор ответа:
0
Ответ:
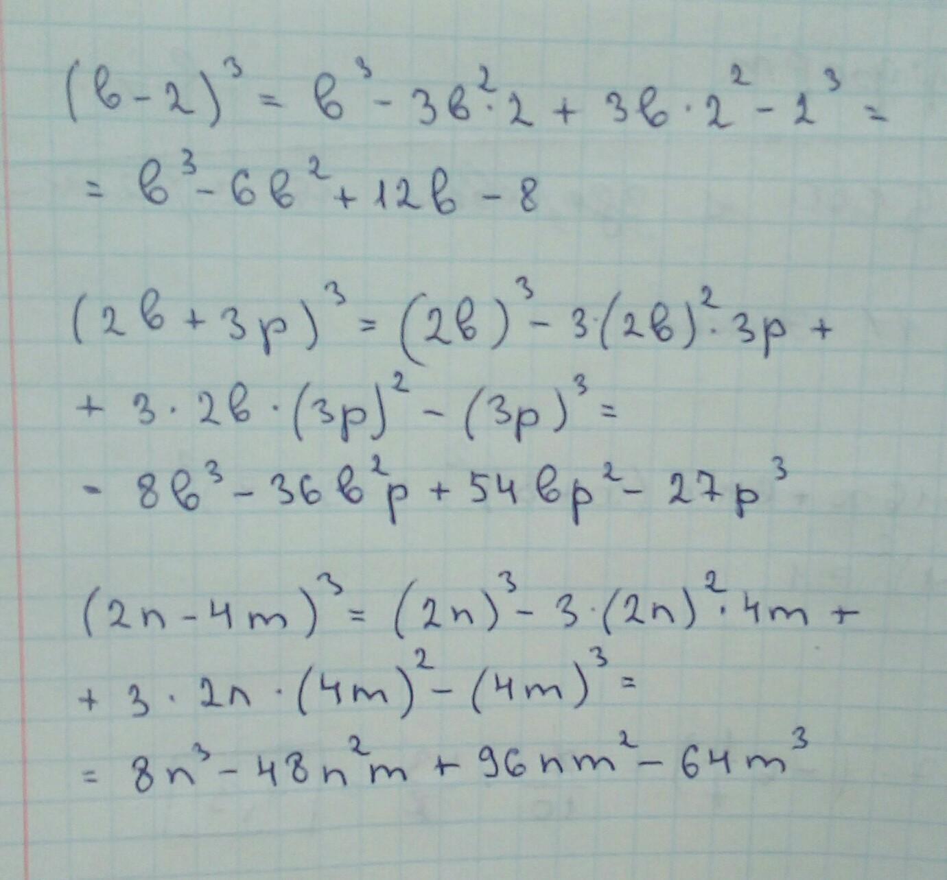
фоточка тебе в помощь ;)
Приложения:
СПС но уже поздно
Похожие вопросы
Предмет: Английский язык,
автор: oksana1977
Предмет: Русский язык,
автор: var2012
Предмет: Другие предметы,
автор: tosik02
Предмет: Алгебра,
автор: miminikimira
Предмет: Алгебра,
автор: ruslanruslan1