Предмет: Алгебра, автор: lkina98

объясните пожалуйста решение

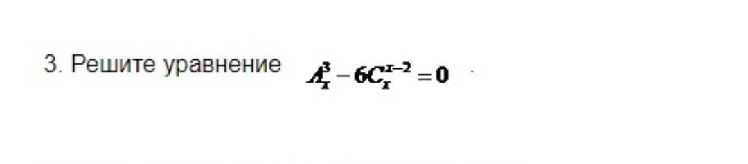
Приложения:

Ответы

Автор ответа: mmb1
1

это основные формулы комбинаторики

n! = 1*2*....*(n-1)*n

0! = 1

факториал не может быть отрицательным

Aₐᵇ = a!/(a - b)!  (a >= b)

Cₐᵇ = a!/(b!*(a - b)!)

Aₓ³ = x!/(x - 3)! = x(x - 1)(x - 2)

Cₓˣ⁻² = x!/((x-2)!*(x - (x - 2)!) = x(x - 1)/2

x >= 3

x(x - 1)(x - 2) - 6*x*(x - 1)/2 = 0

x(x - 1)(x - 2) - 3x*(x - 1) = 0

x(x - 1)[(x - 2) - 3] = 0

x(x - 1)(x - 5) = 0

x = 0

x = 1

x = 5

первые два корня не подходят так как x >= 3

Ответ х = 5

Автор ответа: NNNLLL54
0

A_{x}^3-6\cdot C_{x}^{x-2}=0\\\\\star \; \; A_{n}^{k}=n\cdot (n-1)\cdot ...\cdot (n-k+1)\;\; ,\; \; C_{n}^{k}=\frac{n\cdot (n-1)\cdot ...\cdot (n-k+1)}{k!}\; \; \star \\\\A_{x}^3=x(x-1)(x-2)\; ,\; \; x\geq 3\\\\C_{x}^{x-2}=\frac{x(x-1)\cdot ...\cdot (x-(x-2)+1)}{(x-2)!}=\frac{x(x-1)(x-2)(x-3)\cdot ...\cdot 3}{1\cdot 2\cdot 3\cdot ...\cdot (x-3)(x-2)}=\frac{x\cdot (x-1)}{2}\\\\\\x(x-1)(x-2)-3\cdot x(x-1)=0\\\\x\cdot (x-1)\cdot (x-2-3)=0\\\\x\cdot (x-1)(x-5)=0\\\\x_1=0<3\; ,\; \; x_2=1<3\; ,\; \; x_2=5>3

Otvet:\; \; x=5\; .

Похожие вопросы
Предмет: Русский язык, автор: Briliantik