Предмет: Алгебра,
автор: Aluna20042012
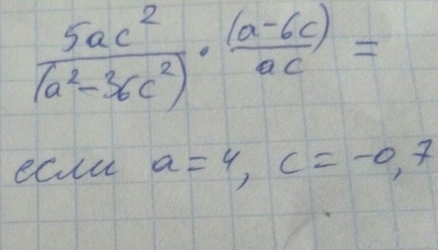
Упростить, не могу вспомнить
Приложения:
Ответы
Автор ответа:
1
Ответ:
5ac/a²-36c²• a-6c/ac=70
Автор ответа:
0
Ответ:
17,5
Объяснение:
смотри и вспоминай
Приложения:
Похожие вопросы
Предмет: Русский язык,
автор: Школота2012
Предмет: Русский язык,
автор: Аноним
Предмет: Английский язык,
автор: Юличка2222
Предмет: Музыка,
автор: anastasiyaesipe