Предмет: Геометрия,
автор: oliabodnar137
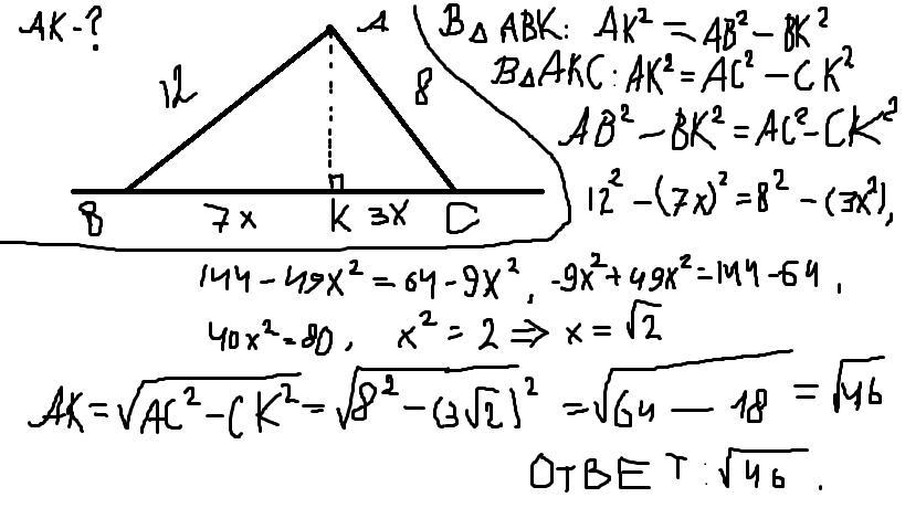
З точки до прямої проведено дві похилі , довжини яких дорівнюють 12 см і 8 см. Знайдіть відстань від точки до прямої, якщо проекції похилих на цю пряму відносяться як 7:3
Ответы
Автор ответа:
14
==============================================================================================
Приложения:
Похожие вопросы
Предмет: Другие предметы,
автор: baron123
Предмет: Русский язык,
автор: olua1234567
Предмет: Русский язык,
автор: АниНайт
Предмет: Математика,
автор: ш6ЛД0н
Предмет: Информатика,
автор: SmokyakovDima