Предмет: Математика, автор: ЭмилиСтоун11

ПОМОГИТЕ ПОЖАЛУЙСТА РЕШИТЬ

Приложения:

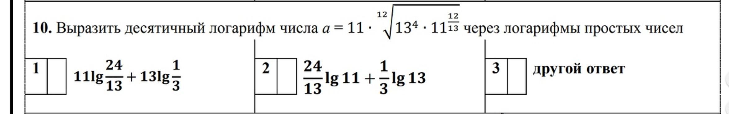
Simba2017: a=11*13^(1/3)*11^(1/13)=11^(14/13)*13^(1/3)
Simba2017: lga=14/13 lg11+1/3 lg13
Simba2017: такого ответа здесь нет

Ответы

Автор ответа: IrkaShevko
1

Ответ:

3) другой ответ

Пошаговое объяснение:

lg(11*13^\frac{4}{12} *11^\frac{12}{13*12} )=lg(11^\frac{14}{13} *13^\frac{1}{3} )=\\\\lg(11^\frac{14}{13})+lg(13^\frac{1}{3})=\frac{14}{13}lg11+\frac{1}{3}lg13

Похожие вопросы
Предмет: Русский язык, автор: АИнна
Предмет: Математика, автор: вкусняшка2222