Предмет: Математика,
автор: darina260508m
Пожалуйста помогите!!! Срочно нужно!! Заранее спасибо!!
Приложения:
Ответы
Автор ответа:
1
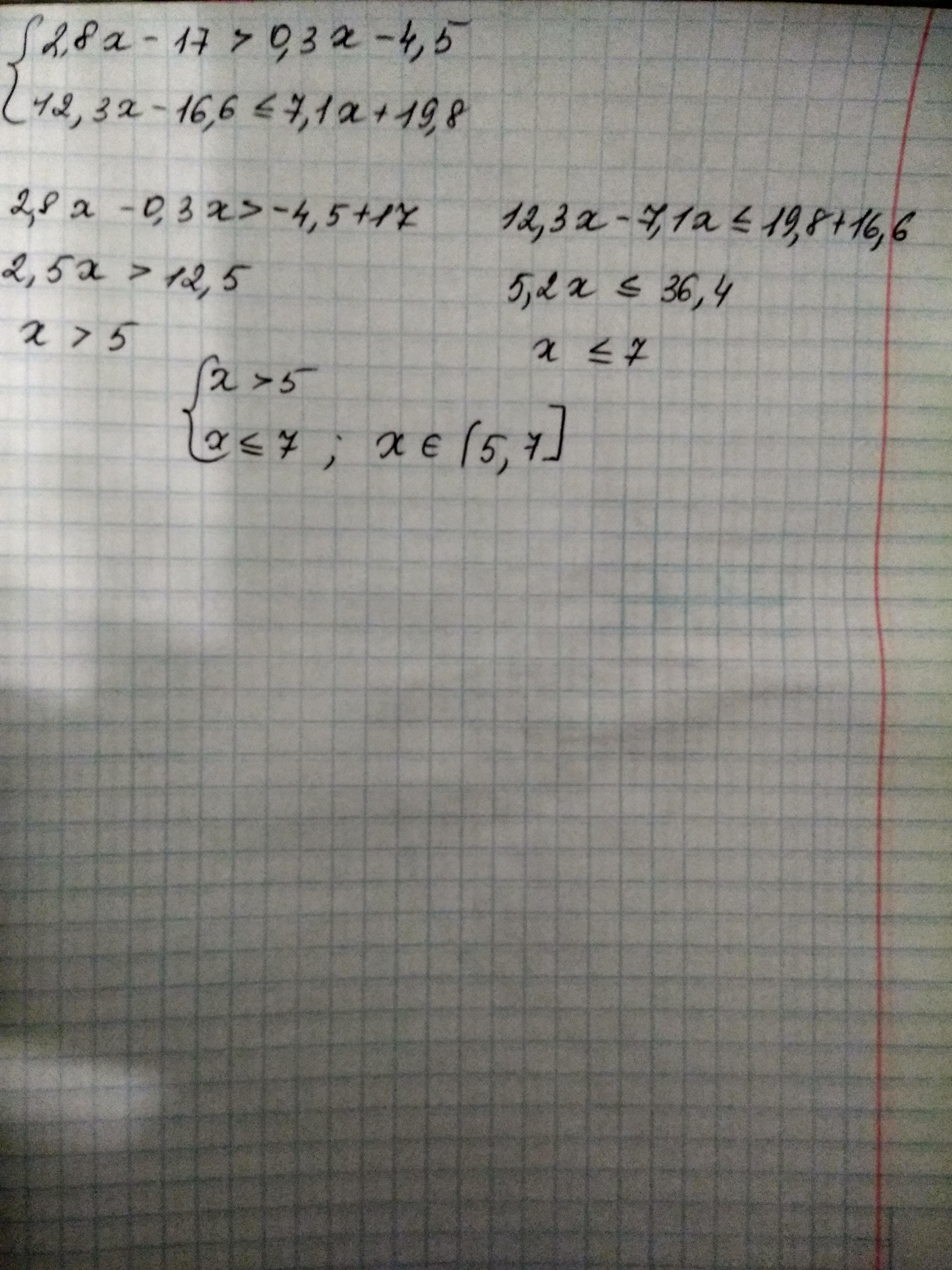
Ответ:
Ответила как могла
Пошаговое объяснение:
{х>5
{х<_7
Х=[5,6]
Автор ответа:
2
Ответ:
Пошаговое объяснение:
Приложения:
Похожие вопросы
Предмет: Українська література,
автор: ненавижуIIIkoлу
Предмет: Русский язык,
автор: Ольчик100
Предмет: Русский язык,
автор: ольга230282
Предмет: Математика,
автор: lineval2015lidok