Предмет: Алгебра,
автор: nikitoparf
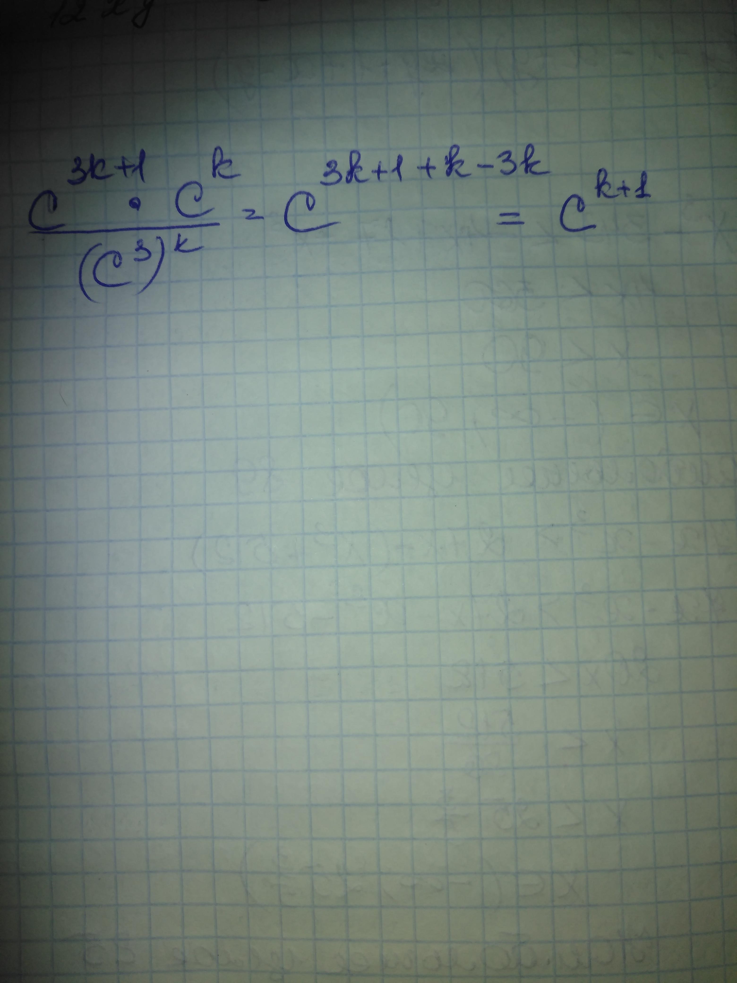
Решите пожалуйста:Представьте выражение

в виде степени с основанием c.
Ответы
Автор ответа:
1
Смотри.....................
Приложения:
nikitoparf:
Спасибо большое вы первый человек кто помог мне
Похожие вопросы
Предмет: Русский язык,
автор: maksim231
Предмет: Українська мова,
автор: Alenka1704
Предмет: Русский язык,
автор: leha595
Предмет: Математика,
автор: timofey083
Предмет: Литература,
автор: леяла