Предмет: Математика,
автор: HopiTakeo
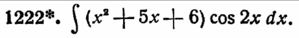
Математический анализ. Найти интеграл
Приложения:
Ответы
Автор ответа:
0
Ответ:
решение на фотографии
Приложения:
Похожие вопросы
Предмет: Русский язык,
автор: Аноним
Предмет: Русский язык,
автор: Аноним
Предмет: Русский язык,
автор: giiiiiiiiiiiiiiii
Предмет: Математика,
автор: Kioki0