Предмет: Математика,
автор: Leonori
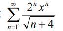
Помогите найти область сходимости степенного ряда
Приложения:
Ответы
Автор ответа:
1
Ответ:
Пошаговое объяснение:
Приложения:
Похожие вопросы
Предмет: Русский язык,
автор: hguvfgyhb
Предмет: Қазақ тiлi,
автор: 070912
Предмет: Английский язык,
автор: ARTYOMfromORYOL
Предмет: Алгебра,
автор: crystal99
Предмет: Алгебра,
автор: Kairattorres