Предмет: Алгебра,
автор: vankanetu2017
Упростить и найти его значение.
1)9-4а^2/4а^2-12а+9 при а=2/3
2)(2х/х+у-2х^2/х^2+2ху+у^2)(1+2у/х-у) при х=-1;у=-1/2
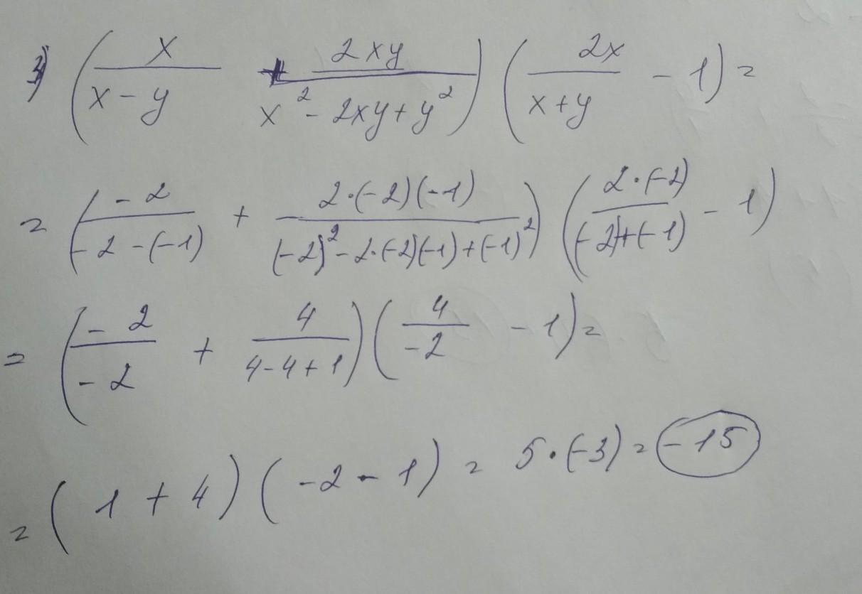
3)(х/х-у+2ху/х^2-2ху+у^2)(2х/х+у-1) при х=-2;у=-1.
/-знак дроби
^-степень
Ответы
Автор ответа:
1
извиняюсь за почерк писала на уроке быстро
Приложения:
Похожие вопросы
Предмет: Русский язык,
автор: tornado76
Предмет: Русский язык,
автор: daryabugaeva
Предмет: Русский язык,
автор: ivankaban
Предмет: Биология,
автор: pasha335
Предмет: Математика,
автор: Сирена27