Предмет: Математика,
автор: Leavage1503
помогите с практическими заданиями
Приложения:
Ответы
Автор ответа:
0
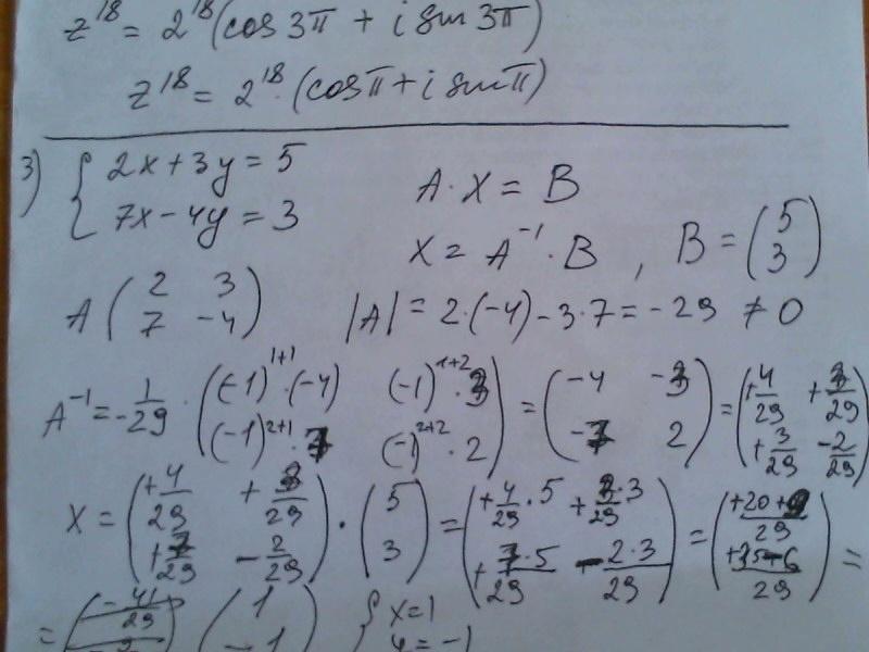
Ответ:
Пошаговое объяснение:
Приложения:
Похожие вопросы
Предмет: Русский язык,
автор: Аноним
Предмет: Английский язык,
автор: Аноним
Предмет: Английский язык,
автор: mokraya
Предмет: Литература,
автор: BARON1111
Предмет: География,
автор: Doshka161