Предмет: Математика,
автор: english163
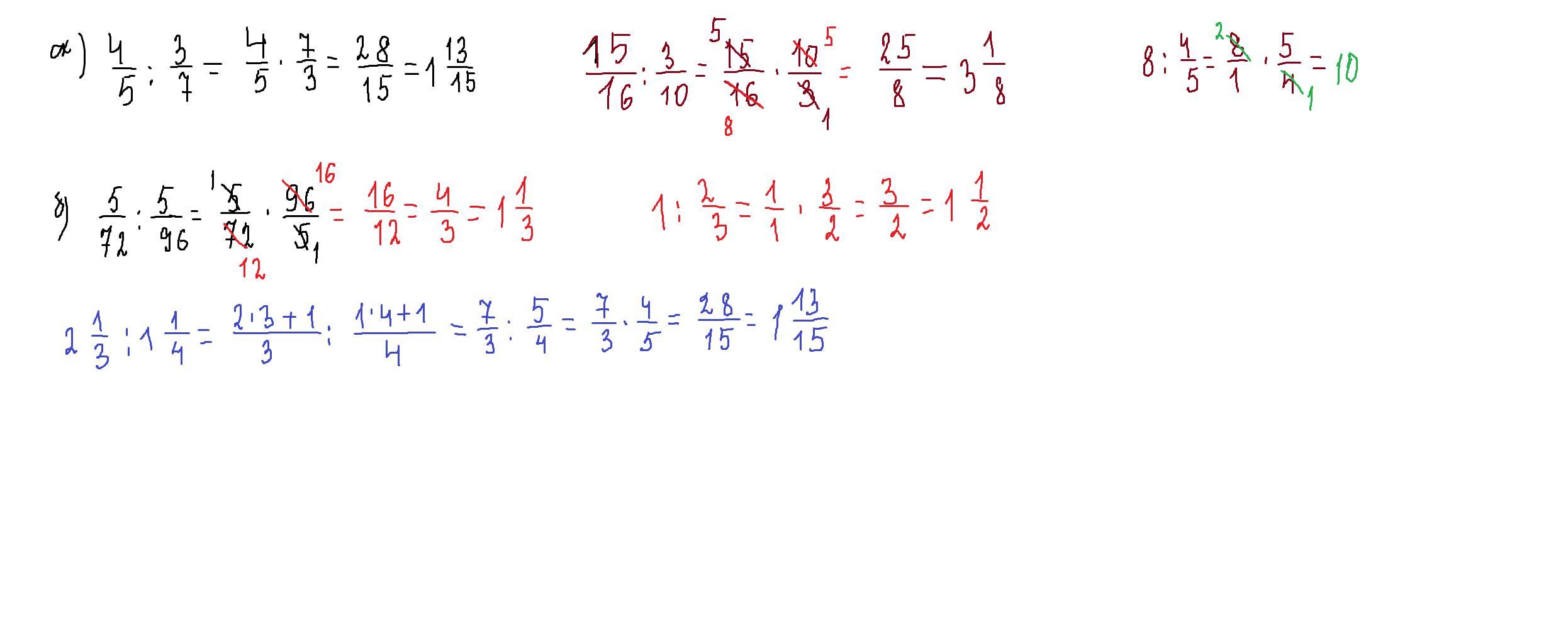
Выполните деление, только ПОДРОБНО
Приложения:
Ответы
Автор ответа:
1
Вот примеры части а. Надеюсь помогла)
Приложения:
english163:
спасибо!
Автор ответа:
1
Ответ:
Пошаговое объяснение:
решение внизу
Приложения:
спасибо
пожалуйста
Похожие вопросы
Предмет: Русский язык,
автор: YanaSwag
Предмет: Русский язык,
автор: 03112000
Предмет: Українська мова,
автор: ЛёляК
Предмет: Математика,
автор: jsadix
Предмет: Математика,
автор: gfcnhtkznf