Предмет: Математика, автор: fggdth

СРОЧНО!!!!!!!!ДАЮ 30 БАЛЛОВ
ПОМОГИТЕ РЕШИТЬ

Приложения:

Ответы

Автор ответа: IrkaShevko
2

Ответ:

Пошаговое объяснение:

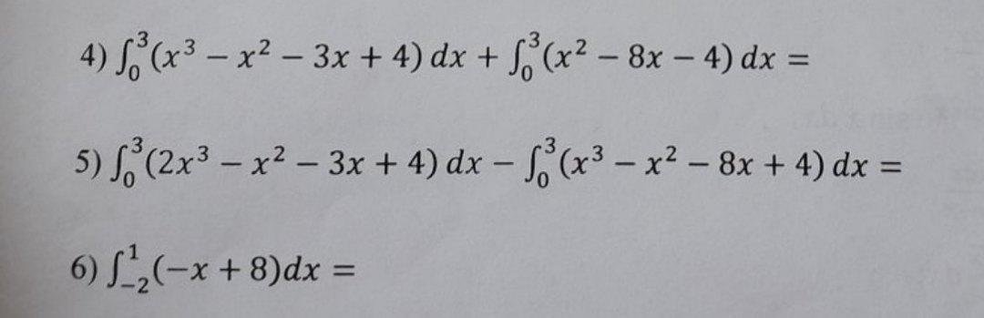
4)\int\limits^3_0 {(x^3-x^2-3x+4)} \, dx +\int\limits^3_0 {(x^2-8x-4)} \, dx =\\\\=\int\limits^3_0 {(x^3-x^2-3x+4+x^2-8x-4)} \, dx =\int\limits^3_0 {(x^3-11x)} \, dx =\\\\=(\dfrac{x^4}{4} -\dfrac{11x^2}{2} )|_0^3=\dfrac{81}{4} -\dfrac{99}{2} =-\dfrac{117}{4} =-29,25\\\\5)\int\limits^3_0 {(2x^3-x^2-3x+4)} \, dx -\int\limits^3_0 {(x^3-x^2-8x+4)} \, dx =\\\\=\int\limits^3_0 {(x^3-x^2-3x+4-x^3+x^2+8x-4)} \, dx =\int\limits^3_0 {(5x)} \, dx =\\\\=\frac{5x^2}{2} |_0^3=\dfrac{45}{2} =22,5

6)\int\limits^1_{-2} {(-x+8)} \, dx =(-\dfrac{x^2}{2} +8x)|_{-2}^1=-\dfrac{1}{2} +8+\dfrac{4}{2} +16=25,5

Похожие вопросы
Предмет: Українська мова, автор: FUTBOLIST1124
Предмет: Українська мова, автор: mikira
Предмет: Математика, автор: daryakilina20