Предмет: Физика, автор: Аноним

Помогите пожалуйста! Очень срочно, завтра уже будет поздно!

(КРАСНЫМ ЦВЕТОМ ПОДЧЁРКНУТА, ВАЖНАЯ ИНФОРМАЦИЯ!)
(НАПИШИТЕ НА ЛИСТИКЕ, СФОТОГРАФИРУЙТЕ, И СКИНЬТЕ ОТВЕТ)

Приложения:

Ответы

Автор ответа: viktoriyaaitasova200
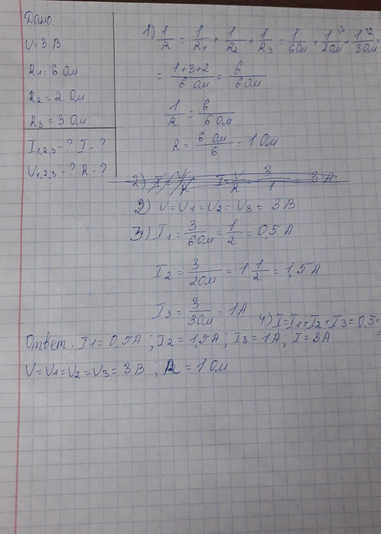
1

Ответ:

Не уверена

Объяснение:

Надеюсь правильно

Приложения:

Аноним: Я тоже на это надеюсь
Аноним: У вас правильно!
Похожие вопросы
Предмет: Литература, автор: dfsdsddsew
1.Соедините имя и фамилию русских писателей:
Иван Сергеевич Толстой
Антон Павлович Тургенев
Лев Николаевич Короленко
Владимир Галактионович Чехов

2.О каком писателе идет речь?
Ему принадлежала большая, в четыреста девяносто страниц тетрадь, на обложке которой было написано: «Книга всякой всячины, или Подручная энциклопедия.1826.»В этой тетради были мысли знаменитых людей, сведения по истории и географии, собственные сочинения, но больше всего записей о жизни русских и украинских народов – предания, обычаи и нравы, пословицы и поговорки, песни.

3. О каком герое какого произведения эти строки: «…воспитывался в кадетском корпусе и выпущен был корнетом в гвардию…Будучи расточителен и честолюбив, он позволял себе роскошные прихоти, играл в карты и входил в долги, не заботясь о будущем и предвидя себе рано или поздно богатую невесту, мечту бедной молодости»?

4.В каком произведении русской литературы действие происходит на вокзале Николаевской железной дороги? Кто его автор?

5.Узнайте литературного героя по его описанию:
«Редко мне случалось видеть такого молодца. Он был высокого роста, плечист и сложен на славу. Из-под мокрой замашной рубашки выпукло выставлялись его могучие мышцы. Черная курчавая борода закрывала до половины его суровое и мужественное лицо; из- под сросшихся широких бровей смело глядели небольшие карие глаза. »
• Как называется произведение и кто его автор?


6. Что такое портрет? Дайте определение.

7. Какой литературный приём использует А.П.Чехов: « Сам он съёжился, сгорбился, сузился... Его чемоданы, узлы и картонки съёжились, поморщились... Длинный подбородок жены стал ещё длиннее».


8. Определите стихотворный размер:
В полном разгаре страда деревенская…
Доля ты! – русская долюшка женская!
Вряд ли труднее сыскать.