Предмет: Алгебра,
автор: sanyatankistitch
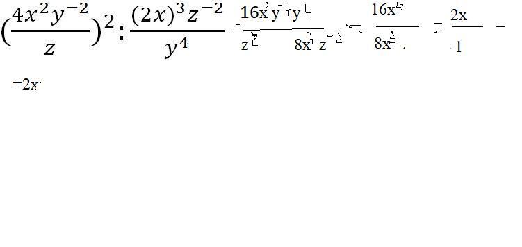
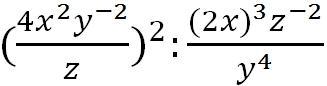
выполните действия пж даю все свои балы их правда мало но что есть
Приложения:
Ответы
Автор ответа:
0
Ответ:
на фото
Объяснение:
Приложения:
Похожие вопросы
Предмет: Русский язык,
автор: сiня
Предмет: Русский язык,
автор: Tey96
Предмет: Русский язык,
автор: daaashkaaaaa
Предмет: Геометрия,
автор: carrot4
Предмет: Обществознание,
автор: Туяна2003