Предмет: Математика, автор: aynoni

помогите решить уравнения.

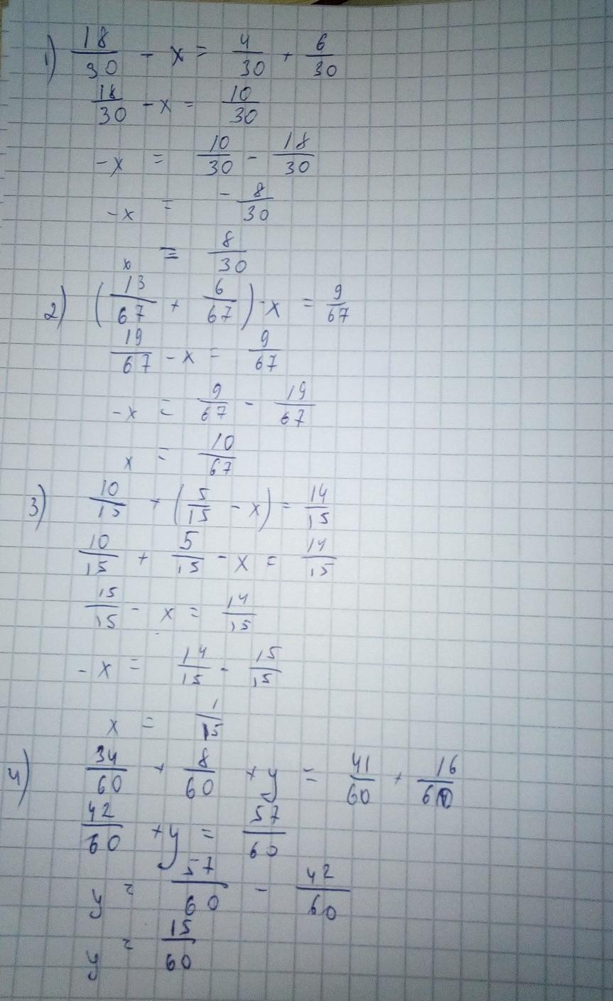
Приложения:

Ответы

Автор ответа: laparoom
0

 \frac{18}{30}  -  x =  \frac{4}{30} +  \frac{6}{30}  \\  \\  \frac{4}{30}  +  \frac{6}{30}  =  \frac{10}{30} \\  \\ x =   \frac{10}{30}  -  \frac{4}{30}  =  \frac{6}{30}  =  \frac{1}{5}

Автор ответа: yana7771777yana
1

Ответ:

5.

 \frac{64}{70}  - (x +  \frac{26}{70} ) =  \frac{5}{70}

 \frac{64}{70}  - x -  \frac{26}{70}  =  \frac{5}{70}

 \frac{38}{70 }  - x =  \frac{5}{70}

 - x =  \frac{5}{70}  -  \frac{38}{70}

x =  \frac{32}{70}

6.

x +  \frac{27}{46}  =  \frac{35}{46}  +  \frac{2}{46}

x +  \frac{27}{46 }  =  \frac{37}{46}

x =  \frac{37}{46}  -  \frac{27}{46}

x =  \frac{10}{46}

Приложения:
Похожие вопросы