Предмет: Математика,
автор: babeblock
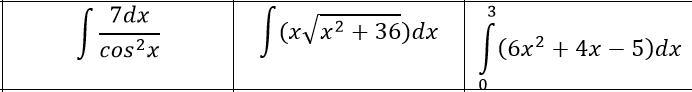
Найти интегралы
Распишите решение подробно!
Приложения:
oganesbagoyan:
∫(x√(x²+36)dx =(1/2)∫√(x²+36)d( x²+36) = (1/3)√(x²+36)³ + C
Ответы
Автор ответа:
0
Ответ:
============================
Пошаговое объяснение:
Приложения:
Автор ответа:
0
Ответ:
Пошаговое объяснение:
1) =7tgx
3) =(6x^3/3+4x^2/2-5x) от 0 до 3 =(2x^3+2x^2-5x) от 0 до 3 =2*27+2*9-5*3=
54+18-15=57
Похожие вопросы
Предмет: Русский язык,
автор: ayrton12
Предмет: Русский язык,
автор: Араксия
Предмет: Русский язык,
автор: duh2012
Предмет: Математика,
автор: Phil111
Предмет: Математика,
автор: valenrina