Предмет: Алгебра,
автор: chernikovv08
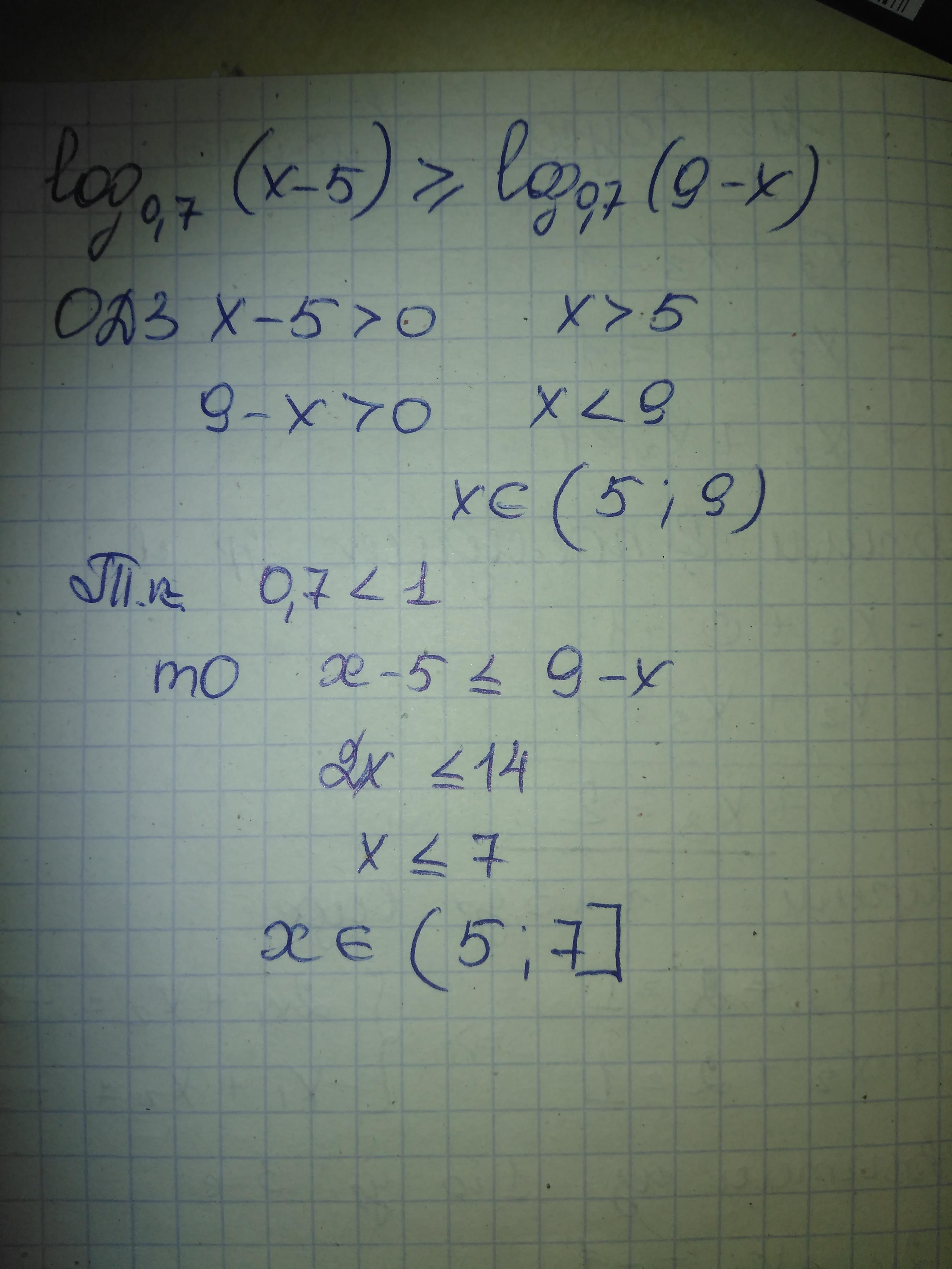
Log 0 7 (x - 5) больше или равен log 0,7 (9-x)
Помогите пожалуйста.
Ответы
Автор ответа:
0
Смотри...........................
Приложения:
Автор ответа:
0
Ответ: во вложении Объяснение:
Приложения:
Похожие вопросы
Предмет: Українська мова,
автор: кристиан2003
Предмет: Русский язык,
автор: мама123456
Предмет: Русский язык,
автор: Поля02
Предмет: Математика,
автор: jako91