Предмет: Математика,
автор: ndiwxkwnin
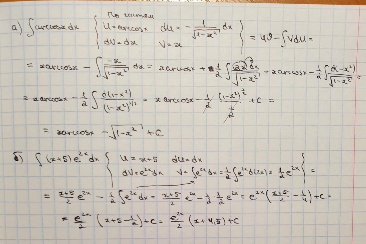
Срочно пожалуйста помогите решить интегралы (а и б)
Приложения:
Ответы
Автор ответа:
0
Ответ:
решение на фотографии
Приложения:
Автор ответа:
0
https://znanija.com/task/34364550
* * * * * * * * * * * * * * * * * * * * *
Вычислить интегралы : а) ∫ arccos(x)dx ; б) ∫ (x +5)e²ˣ dx
Ответ: а) x*arccos(x) - √(1-x²) +C ; б ) (1/2) xe²ˣ +(9/4)e²ˣ+ С.
Пошаговое объяснение:
* * * ∫udv = uv - ∫vdu ( инт.по частям ) ; ∫uⁿdu =uⁿ⁺¹ / (n+1) * * *
а) ∫arccos(x)dx= arccos(x) *x - ∫xd(arccos(x) )=x*arccos(x) -∫x(-1/√(1-x²)*dx =
x*arccos(x) - ( 1/2)∫(1-x²)^(-1/2)d(1-x²)=x*arccos(x)-(1/2)*(1-x²)^(-1/2+1))/(-1/2+1)=
x*arccos(x) - √(1-x²) +C.
------------------------------------
б) ∫(x+5)e²ˣ dx =∫xe²ˣdx+ ∫5e²ˣ dx =(1/2)∫xd(e²ˣ)+ ∫5e²ˣdx =
(1/2)( xe²ˣ - ∫e²ˣdx) + 5∫e²ˣ dx =(1/2) xe²ˣ +(9/2)∫e²ˣ dx =
(1/2) xe²ˣ +(9/4)e²ˣ+ С.
Похожие вопросы
Предмет: Русский язык,
автор: Хатор
Предмет: Русский язык,
автор: med123
Предмет: Русский язык,
автор: gena18042000
Предмет: Химия,
автор: sosnina97
Предмет: Биология,
автор: незнайка894