Предмет: Математика,
автор: rezinkidd
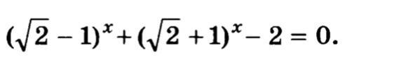
Help! Решите уравнение
Приложения:
Ответы
Автор ответа:
0
Ответ:
Пошаговое объяснение:
...............................
Приложения:
Похожие вопросы
Предмет: Українська література,
автор: KoKaKoLkA
Предмет: Українська мова,
автор: Мицик
Предмет: Другие предметы,
автор: катя5505
Предмет: Информатика,
автор: VladaTkachuk
Предмет: Математика,
автор: dima754