Предмет: Алгебра, автор: nikita22849

помогите завтра
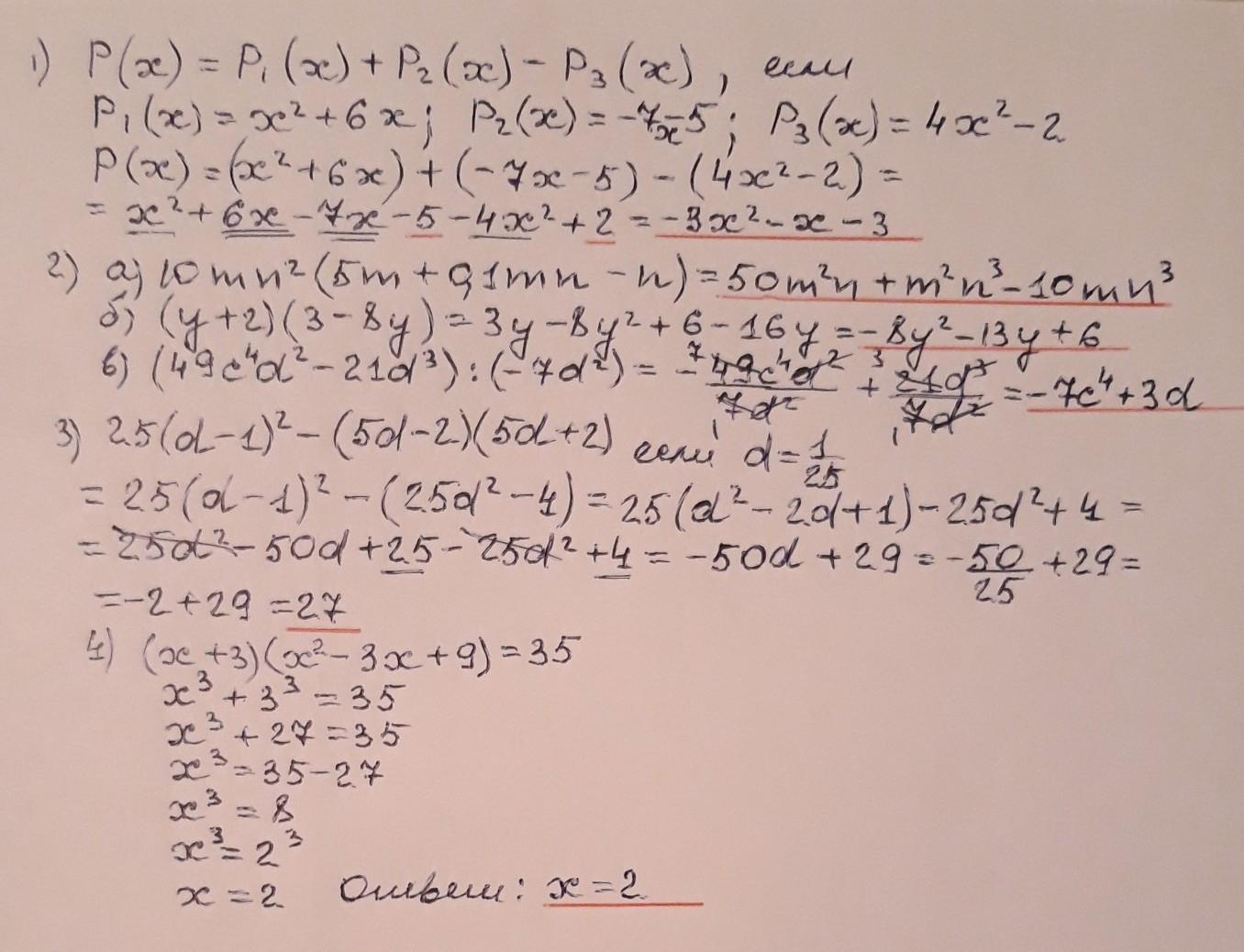
срочно ​

Приложения:

Ответы

Автор ответа: sharofat0
1

Ответ:

Преобразуйте в многочлен стандартного вида.

Приложения:
Автор ответа: Аноним
0

Ответ: во вложении Объяснение:

Приложения:
Похожие вопросы
Предмет: Русский язык, автор: Fanloko7

 

 


(1)Ученикам о войне он рассказывал скупо. .
- (2)А где вас ранило? - спрашивали ребята.
- (3)В Польше, уже в наступлении. (4)Вот, руку отняли.
(5)Что было потом, не рассказывал: не хотел вспоминать, как учился
писать левой - почерком, не лишённым элегантности, как приспособился
ловко надевать рюкзак одной рукой. (б)После госпиталя приехал в Москву и
вернулся в университет, в котором учился до войны.
(7)Какое это было счастье - полных три года он восстанавливал себя
сам: чистил кровь Пушкиным, Толстым, Герценом...
(8)Потом отправили по распределению в среднюю школу посёлка
Калиново Вологодской области преподавать русский язык и литературу.
(9)Жильё выделили при школе. (Ю)Комната и прихожая, откуда
топилась печь. (П)Дровами обеспечивали. (12)Кроме литературы, ещё
приходилось учить географии и истории.
(13)Всё в Калинове было бедным, разрушенным, в изобилии только
нетронутая робкая природа. (14)И люди были, пожалуй, получше городских,
тоже почти не тронутые городским душевным развратом.
(15)Общение с деревенскими ребятами развеяло его студенческие
иллюзии: доброе и вечное, конечно, не отменялось, но повседневная жизнь
была слишком груба. (16)Всё время мучительно думал: нужны ли все эти
культурные ценности девочкам, укутанным в чинёные платки, успевшим до
зари прибрать скотину и малых братьев-сестёр, и мальчикам, выполнявшим
всю мужскую тяжёлую работу? (17)Учёба на голодный желудок и потеря
времени на знания, которые никогда и ни при каких условиях им не
понадобятся?
(18)Детство у них давно закончилось, они все сплошь были недоросшие
мужики и бабы, и даже те немногие, кого матери отпускали в школу, как
будто испытывали неловкость, что занимаются глупостями вместо
настоящей серьёзной работы. (19)Из-за этого некоторую неуверенность
испытывал и молодой учитель - и впрямь, не отвлекает ли он их от
насущного дела жизни ради излишней роскоши. (20)Какой Радищев?
(21)Какой Гоголь? (22)Какой Пушкин, в конце концов? (23)Обучить грамоте
и поскорее отпустить домой — работать. (24)Да и сами они только этого и
желали.
(25)Тогда он впервые задумался о феномене детства. (26)Когда оно
начинается, вопросов не вызывало, но когда оно заканчивается и где тот
рубеж, начиная с которого человек становится взрослым? (27)Очевидно, что
у деревенских ребятишек детство заканчивалось раньше, чем у городских.
(28)Северная деревня всегда жила впроголодь, а после войны все
обнищали вконец, работали бабы и ребята. (29)Из тридцати ушедших на
фронт местных мужиков вернулись с войны двое. (ЗО)Дети, маленькие
мужики-школьники, рано начинали трудовую жизнь, и детство у них было
украдено. (31)Впрочем, что тут считать: у одних было украдено детство, у
других - юность, у третьих - жизнь. 

 

Напишите сочинение-рассуждение. Объясните, как Вы понимаете
смысл финала текста: «Дети, маленькие мужики-школьники, рано
начинали трудовую жизнь, и детство у них было украдено.
Впрочем, что тут считать: у одних было украдено детство, у
других — юность, у третьих — жизнь».

Приведите в сочинении два аргумента из прочитанного текста,
подтверждающие Ваши рассуждения.

 

Пожалустаа ребятаа