Предмет: Алгебра,
автор: moiseenkovanton
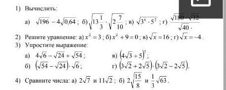
помогите решить!!!!((((
Приложения:
Ответы
Автор ответа:
1
Ответ: во вложении Объяснение:
Приложения:
Похожие вопросы
Предмет: Русский язык,
автор: danisimo
Предмет: Английский язык,
автор: Аноним
Предмет: Английский язык,
автор: Карамеллька
Предмет: Алгебра,
автор: jamiliagazikovа