Предмет: Математика,
автор: lox2679
помогите срочноооо 45 баллов
Приложения:
Аноним:
я не вижу ответа?
Ответы
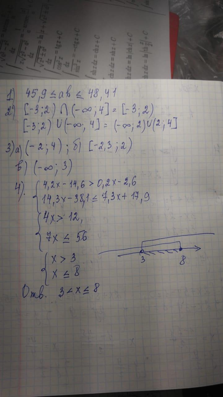
Автор ответа:
1
Ответ:
Пошаговое объяснение:
Приложения:
х дописать на прямой где стрелка.
Похожие вопросы
Предмет: Русский язык,
автор: david2502
Предмет: Русский язык,
автор: РоманКислый
Предмет: Русский язык,
автор: Пукиии
Предмет: История,
автор: Amaliyaaaa
Предмет: Математика,
автор: 007krasava91