Предмет: Алгебра,
автор: alimpopo2003
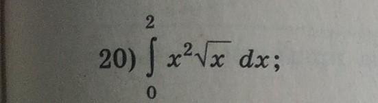
Обчислить интеграл, прошу, срочно
Приложения:
mmb1:
x^n dx = x^(n+1)/(n+1) + c
Ответы
Автор ответа:
0
Решение во вложении:
Приложения:
Похожие вопросы
Предмет: Русский язык,
автор: Honda
Предмет: Русский язык,
автор: морго
Предмет: Русский язык,
автор: Honda
Предмет: Литература,
автор: Makss17w3
Предмет: История,
автор: Svetlanka005