Предмет: Математика,
автор: annaalferova14
пожалуйста помогите
Приложения:
Ответы
Автор ответа:
4
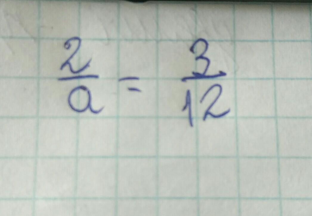
Сначала сократим дробь:
2/а=1/4
Потом упрощаем путем перекрестного умножения:
8=а
В конце поменяем места и получится:
а=8
Автор ответа:
1
2/а=3/12
1/а=3/6
а=6*1:3
а=2
Похожие вопросы
Предмет: Английский язык,
автор: kent4super
Предмет: Английский язык,
автор: stassav2001
Предмет: Английский язык,
автор: guktat
Предмет: Физика,
автор: gods12
Предмет: Алгебра,
автор: 45апми