Предмет: Математика,
автор: Darina0508
Номер 1 помогите кто может
Приложения:
Ответы
Автор ответа:
0
Ответ:
Пошаговое объяснение:
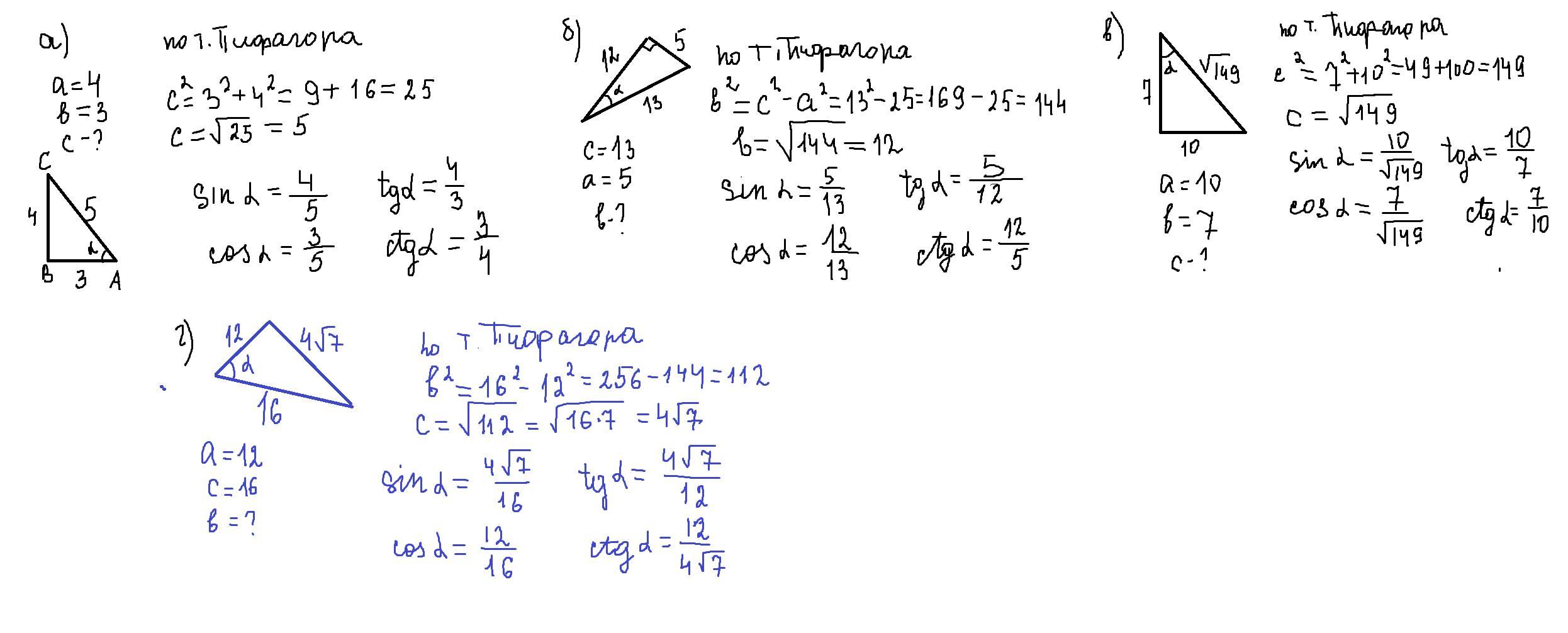
a) гипотенуза c^2=9+16=25, c=5, sina=4/5, cosa=3/5, tga=4/3, ctga=3/4
б) a^2=169-25=144, a=12, sina=5/13, cosa=12/13, tga=5/12, ctga=12/5
в) c^2=100-49=51, c=V51, sina=10/V51, cosa=7/V51, tga=10/7, ctga=7/10
Автор ответа:
0
Ответ:
Пошаговое объяснение:
решение внизу
Приложения:
Похожие вопросы
Предмет: Українська мова,
автор: ukyt
Предмет: Русский язык,
автор: eliseenko
Предмет: Английский язык,
автор: Аноним
Предмет: История,
автор: nikanaa333
Предмет: Математика,
автор: NickiMinaj30