Предмет: Алгебра,
автор: nikerson2018
Решите пж
Ответы
Автор ответа:
1
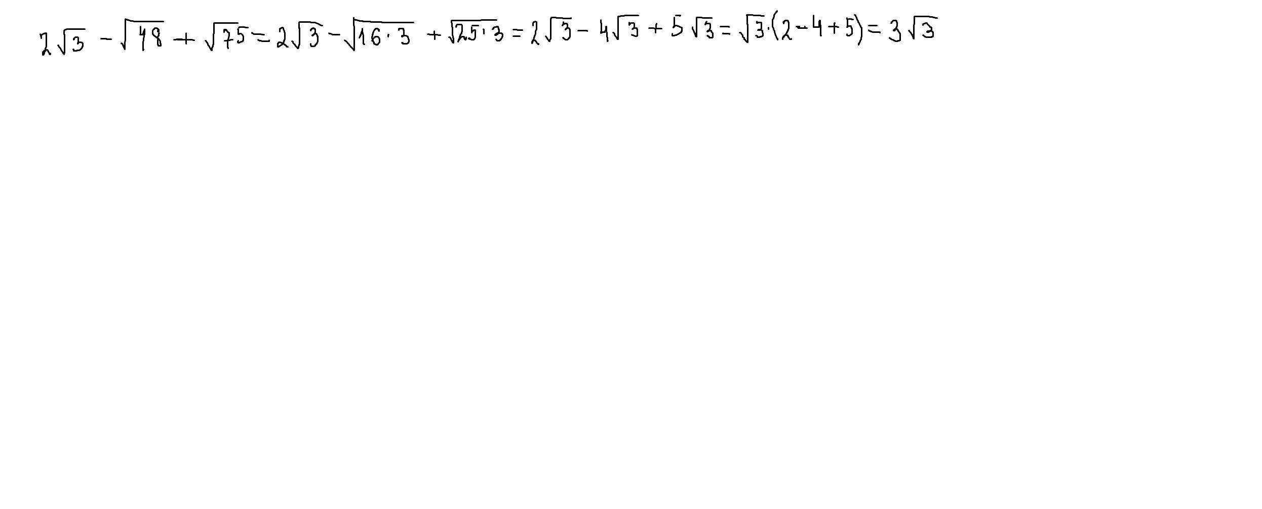
Ответ:
3√3
Объяснение:
Приложения:
Похожие вопросы
Предмет: Другие предметы,
автор: Anika51
Предмет: Другие предметы,
автор: hbgjnhgv
Предмет: Русский язык,
автор: katikai
Предмет: Математика,
автор: примите
Предмет: География,
автор: anvarnadiro