Предмет: Алгебра,
автор: vinnightray
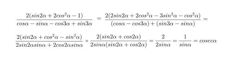
Упростите данные тригонометрические выражения
Приложения:
Ответы
Автор ответа:
1
Смотри в приложении:
Приложения:
Похожие вопросы
Предмет: Русский язык,
автор: SoLne4naЯ
Предмет: Русский язык,
автор: Калинчик
Предмет: Английский язык,
автор: Uldana1
Предмет: Обществознание,
автор: makshusnulin
Предмет: Алгебра,
автор: foxyway