Предмет: Математика,
автор: mauzm
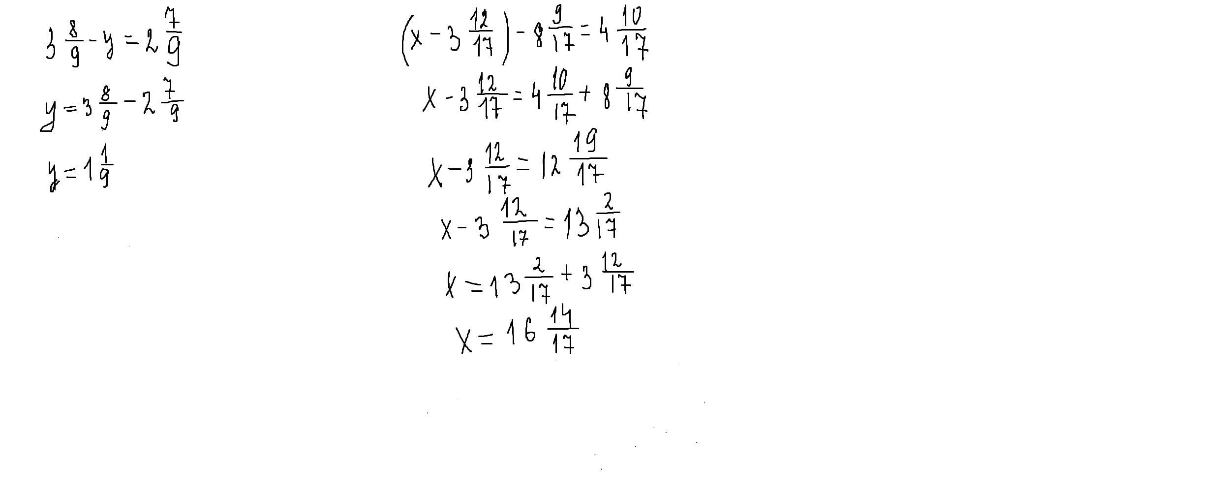
помогите пожалуйста решить уравнение что бы пожалуйста всё было понятно
Приложения:
Ответы
Автор ответа:
1
Ответ:
Пошаговое объяснение:
решение внизу
Приложения:
Похожие вопросы
Предмет: Українська мова,
автор: lanky
Предмет: Русский язык,
автор: Aleksei21000
Предмет: Русский язык,
автор: БелыйС
Предмет: Математика,
автор: Аноним