Предмет: Алгебра,
автор: Gzuz666
ПОМОГИТЕ ПОЖАЛУЙСТА!
Ответы
Автор ответа:
0
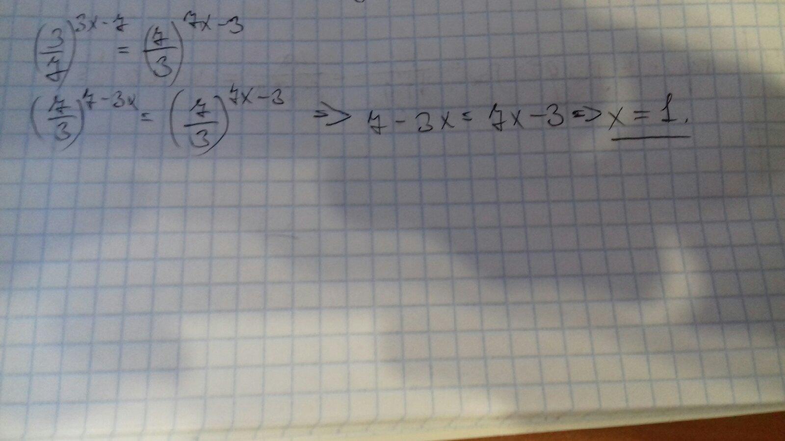
Ответ:
...................
Объяснение:
Приложения:
Gzuz666:
)Это вроде не то))
Вот
Прости))
Где?)))))))
На фотке)
Похожие вопросы
Предмет: Другие предметы,
автор: Лето2012
Предмет: Русский язык,
автор: anyta2020
Предмет: Русский язык,
автор: arina0906
Предмет: Химия,
автор: mychemicalshorts
Предмет: Математика,
автор: нюська8