Предмет: Алгебра,
автор: faberlictlt
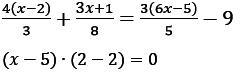
Пожалуйста. Решите уравнения:
Приложения:
Ответы
Автор ответа:
1
ответ во вложении смотри там
Приложения:
Похожие вопросы
Предмет: Английский язык,
автор: cfsg
Предмет: Английский язык,
автор: tahir
Предмет: Русский язык,
автор: юлька456
Предмет: Математика,
автор: malikaespolova
Предмет: Алгебра,
автор: башка3478